Zum Hauptinhalt
Sie sind als Gast angemeldet (
Anmelden
)
Beide Seiten der Bruchgleichung mit dem Hauptnenner multiplizieren
Startseite
Kurse
(verborgen)
M7 Gleichungen Planarbeit
Beide Seiten der Bruchgleichung mit dem Hauptnenner multiplizieren
Abschnittsübersicht
◄
Den gemeinsamen Nenner bestimmen = Hauptnenner bestimmen
►
Textgleichungen
Aktivität ... auswählen
D = G \ {-4; 0}
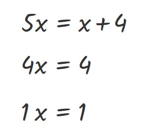
Wir multiplizieren die Bruchgleichung auf beiden Seiten mit dem Hauptnenner.
Der gemeinsame Nenner (HN) ist 5x(x + 4)
Anschließend kürzen:
Übrig bleibt:
Gleichung lösen:
Lösung mit der Definitionsmenge vergleichen und Lösungsmenge anschreiben:
D = G \ {-4; 0} Die Zahl 1 wurde nicht ausgeschlossen. Also ist die Lösungsmenge L = {1}
Aktivität 23. Aufgabe: Ergänze die Lücken in diesem M... auswählen
23. Aufgabe:
Ergänze die Lücken in diesem Musterbeispiel.
Aktivität Textfeld auswählen
Abschluss
Teilnehmer/innen müssen
Als erledigt kennzeichnen
Aktivität 24. Aufgabe: auswählen
24. Aufgabe:
Aktivität Bruchgleichung Schritt für Schritt auswählen
Bruchgleichung Schritt für Schritt
Textseite
Abschluss
Teilnehmer/innen müssen
Anzeigen
◄
Den gemeinsamen Nenner bestimmen = Hauptnenner bestimmen
Direkt zu:
Kursübersicht
Allgemeines
Gleichungen: Level 1
Was ist die Lösungsmenge einer Gleichung?
Boxenstopp
Gleichungen: Level 2
Boxenstopp
Bruchgleichungen
Den gemeinsamen Nenner bestimmen = Hauptnenner bestimmen
Beide Seiten der Bruchgleichung mit dem Hauptnenner multiplizieren
Textgleichungen
Zahlenrätsel
Altersrätsel
Textgleichungen aus der Geometrie
Autor
►
Textgleichungen