Zum Hauptinhalt
Sie sind als Gast angemeldet (
Anmelden
)
Den gemeinsamen Nenner bestimmen = Hauptnenner bestimmen
Startseite
Kurse
(verborgen)
M7 Gleichungen Planarbeit
Den gemeinsamen Nenner bestimmen = Hauptnenner bestimmen
Abschnittsübersicht
◄
Bruchgleichungen
►
Beide Seiten der Bruchgleichung mit dem Hauptnenner multiplizieren
Aktivität 19. Aufgabe: Sieh dir nun die nächsten 2 mi... auswählen
19. Aufgabe:
Sieh dir nun die nächsten 2 min des Erklärvideo an.
Aktivität Über Einstellungen (Zahnrad) kannst du die Wiederg... auswählen
Abschluss
Teilnehmer/innen müssen
Als erledigt kennzeichnen
Über Einstellungen (Zahnrad) kannst du die Wiedergabegeschwindigkeit auf 0,75 setzen.
Aktivität Der Hauptnenner ist das kleinste gemeinsame Vielfa... auswählen
Der Hauptnenner ist
das kleinste gemeinsame Vielfache
aller Nenner der Bruchgleichung.
Um den Hauptnenner bei Bruchgleichungen zu bestimmen, musst du
alle
Nenner links
und
rechts vom Gleichheitszeichen beachten!
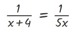
Der gemeinsame Nenner (HN) ist 5x(x + 4)
In dieser Bruchgleichung kommen folgende Nenner vor:
1. Nenner: (x + 4)
2. Nenner: 5x
Das Produkt 5x·(x + 4) enthält beide Nenner.
Aktivität 20. Aufgabe:Ordne den Hauptnenner der richtigen Br... auswählen
20. Aufgabe:
Ordne den Hauptnenner der richtigen Bruchgleichungen zu.
Aktivität Textfeld auswählen
Abschluss
Teilnehmer/innen müssen
Als erledigt kennzeichnen
Aktivität 21. Aufgabe:Ordne jeder Bruchgleichung den passend... auswählen
21. Aufgabe:
Ordne jeder Bruchgleichung den passenden Hauptnenner zu.
Aktivität Textfeld auswählen
Abschluss
Teilnehmer/innen müssen
Als erledigt kennzeichnen
Aktivität 22. Aufgabe:Finde für die Bruchgleichungen den gem... auswählen
22. Aufgabe:
Finde für die Bruchgleichungen den gemeinsamen Nenner (Hauptnenner).
Aktivität Textfeld auswählen
Abschluss
Teilnehmer/innen müssen
Als erledigt kennzeichnen
◄
Bruchgleichungen
Direkt zu:
Kursübersicht
Allgemeines
Gleichungen: Level 1
Was ist die Lösungsmenge einer Gleichung?
Boxenstopp
Gleichungen: Level 2
Boxenstopp
Bruchgleichungen
Den gemeinsamen Nenner bestimmen = Hauptnenner bestimmen
Beide Seiten der Bruchgleichung mit dem Hauptnenner multiplizieren
Textgleichungen
Zahlenrätsel
Altersrätsel
Textgleichungen aus der Geometrie
Autor
►
Beide Seiten der Bruchgleichung mit dem Hauptnenner multiplizieren