Die Definitionsmenge einer Bruchgleichung bestimmen
Bevor man Bruchgleichungen löst, muss man immer erst die Definitionsmenge D bestimmen.
Wichtig: Kein Nenner darf 0 werden.
In der Definitionsmenge werden alle Zahlen aus der Grundmenge G ausgeschlossen,
für die ein Nenner 0 werden würde.

|
|
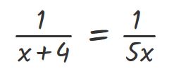
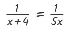
In dieser Bruchgleichung kommen folgende Nenner vor:
1. Nenner: x + 42. Nenner: 5x
|
Würde man für x die Zahl -4 einsetzen, würden der 1. Nenner 0 werden.
Würde man für x die Zahl 0 einsetzen, würde der 2. Nenner 0 werden.
Deshalb müssen die Zahlen -4 und 0 ausgeschlossen werden!
D = G \
{-4; 0}
\ heißt ohne